About The Crown Season 3 Dvd Release Date Australia Jb Hi Fi
New Summer arrivals
Choose what you like on all
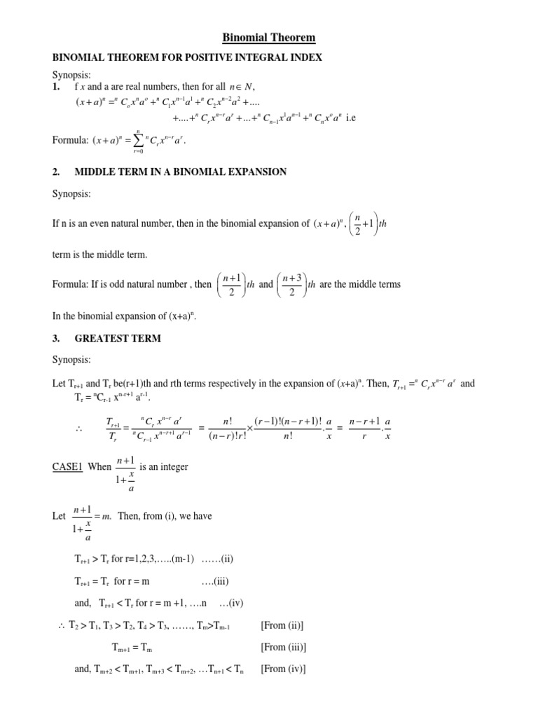
Binomial Expansion Formula 1xn
From our blog
What's new in the ? Check our blog!
What's new in the ? Check our blog!


Cuanto Salio Francia Vs Portugal Hoy, Portugal Quinta Do Lago Hotels, Dustin Johnson Iron Set Up,